Тролль
Сообщение
#20963 7.11.2008, 21:18
Фокусы гиперболы и параболы нашли?
tig81
Сообщение
#20964 7.11.2008, 21:21
правила форума Центр
окружности и фокусы заданных
гиперболы и
параболы нашли?
Цитата(Тролль @ 7.11.2008, 23:18)

Фокусы гиперболы и параболы нашли?
Dimka
Сообщение
#20965 7.11.2008, 23:15
Да какие там фокусы. Ему решение нужно, а не фокусы.
Тролль
Сообщение
#20966 7.11.2008, 23:29
Написано, что человек учится в МГУ, вот и посмотрим
ivan85
Сообщение
#21185 10.11.2008, 20:33
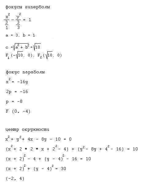
нашёл центр окружности, фокусы гиперболы и фокус параболы
Нажмите для просмотра прикрепленного файла
Тролль
Сообщение
#21188 10.11.2008, 21:03
А теперь то в чем проблема? Находим уравнение прямой, проходящей через правый фокус гиперболы и фокус параболы.
Пусть ее уравнение y = kx + b.
Тогда проекцию найдем как точку пересечения этой прямой и прямой, перпендикулярной ей и проходящей через центр окружности.
Прямая, перпендикулярная прямой y = kx + b имеет уравнение
y = -1/k * x + D
D Находим из условия, что центр окружности лежит на этой прямой.
А затем останется только найти точку пересечения этих прямых.