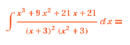
Помогите пожалуйста с решением интеграла, самостоятельно не получается... если быть точнее, то после нахождения A, B, С... не получается вычесление интеграла...
если не сложно распишите решение.заранее спасибо.
Нажмите для просмотра прикрепленного файла
пример
