Здравствуйте, мне нужно исследовать и построить график Нажмите для просмотра прикрепленного файла
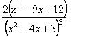
я прошла все этапы, дошла до исследования на выпуклость, вторая производная получилась такая:
Нажмите для просмотра прикрепленного файла
так вот не могу найти корни в числителе, целых нет, а дробные не знаю, как найти, подскажите, пожалуйста.