Помощь - Поиск - Пользователи - Календарь
Полная версия: уравнение гиперболы > Линейная алгебра и аналитическая геометрия
Образовательный студенческий форум > Высшая математика > Линейная алгебра и аналитическая геометрия
RedNastenka
здравствуйте, проверьте, что не так
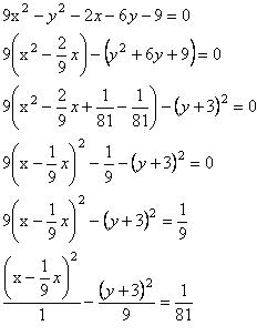
Нажмите для просмотра прикрепленного файла
должно ведь =1?
мне нужны координаты центра и полуоси
заранее спасибо
venja
Это гипербола, а не парабола.
Начиная с 4 строчки - опечатка: вместо (1/9)*х должна быть просто 1/9.
Обе части последнего уравнения надо разделить на(1/81) (или умножить на 81), а то, что получится, представить в виде:
{[(x-(1/9))^2]/(1/81)}-{[(y+3)^2]/(1/9)}=1
Отсюда: центр гиперболы в точке М(1/9, -3),
а=1/9, b=1/3
RedNastenka
спасибо огромное, всё понятно
Это текстовая версия — только основной контент. Для просмотра полной версии этой страницы, пожалуйста, нажмите сюда.
Русская версия Invision Power Board © 2001-2026 Invision Power Services, Inc.