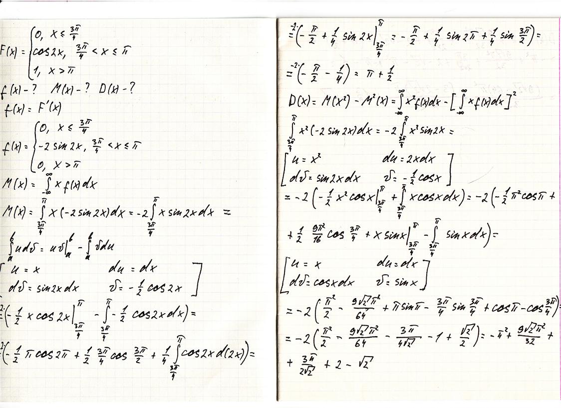
Не стал отдельную тему создавать... У меня задача с таким же условием. Я пробовал решать, и ответ получился не очень удачным

Подскажите, пожалуйста, в чем ошибки. Я так подозреваю, что в интегралах (давно я ими не занимался), но не могу понять, что именно не так.
Нажмите для просмотра прикрепленного файлаНажмите для просмотра прикрепленного файла