Здравствуйте! Я здесь впервые. Меня сюда приввел пример:

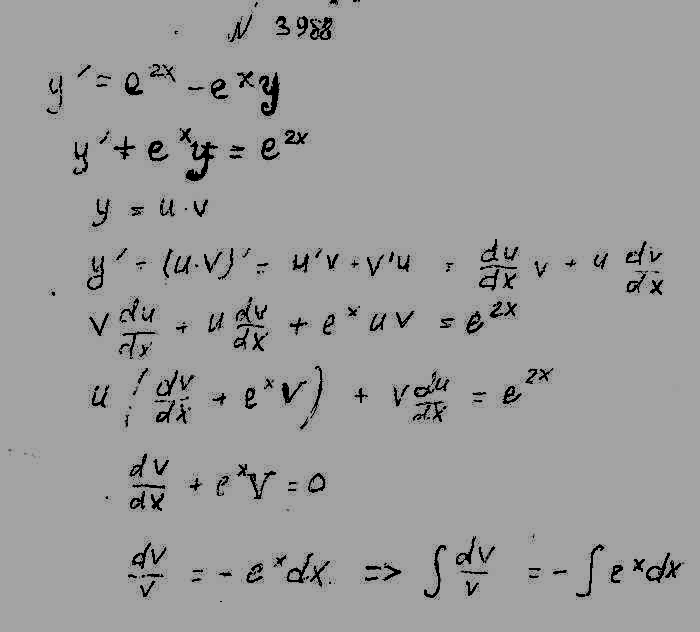
y'=(e^2x)-(e^x)*y

Помогите пожалуйста найти ошибку в решении

Нажмите для просмотра прикрепленного файла

продолжение

Нажмите для просмотра прикрепленного файла

Ответ должен быть: y=C*e^(-e^x) + e^x - 1