Помощь
-
Поиск
-
Пользователи
-
Календарь
Полная версия:
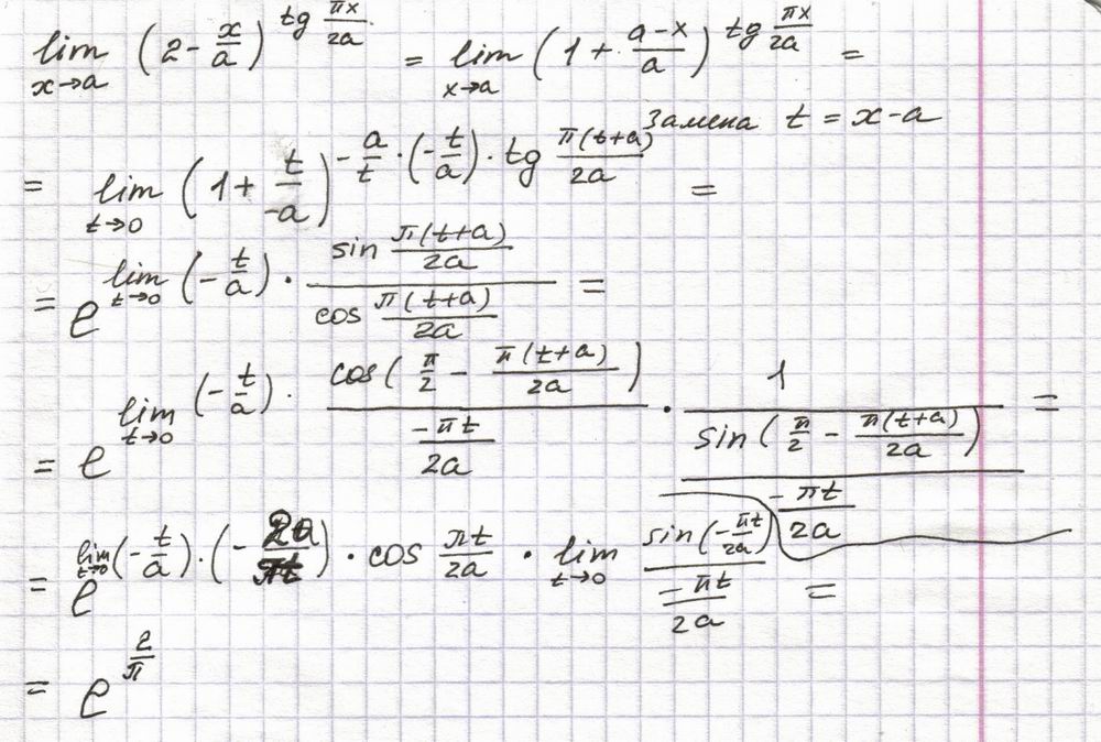
lim(x->a)(2-х/a)^tg(Пх/2a) ( Сообщение # 8979 by Julia ) > Пределы
Образовательный студенческий форум
>
Высшая математика
>
Пределы
Julia
20.12.2007, 16:41
Нажмите для просмотра прикрепленного файла
Это текстовая версия — только основной контент. Для просмотра полной версии этой страницы, пожалуйста,
нажмите сюда
.
Русская версия Invision Power Board © 2001-2026
Invision Power Services, Inc.