Помощь
-
Поиск
-
Пользователи
-
Календарь
Полная версия:
Циркуляция векторного поля > Интегралы
Образовательный студенческий форум
>
Высшая математика
>
Интегралы
evaf
Сообщение
#92799
3.5.2018, 13:00
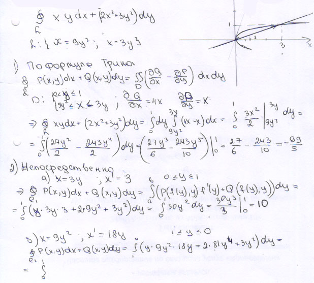
Добрый день. Подскажите, пожалуйста, где у меня ошибка?
Разные ответы получаются, а ошибку не вижу
Нажмите для просмотра прикрепленного файла
Решение
Нажмите для просмотра прикрепленного файла
evaf
Сообщение
#92802
4.5.2018, 9:32
Спасибо, нашла ошибку
tig81
Сообщение
#92827
1.7.2018, 11:12
Цитата(evaf @ 4.5.2018, 12:32)
Спасибо, нашла ошибку
Это текстовая версия — только основной контент. Для просмотра полной версии этой страницы, пожалуйста,
нажмите сюда
.
Русская версия Invision Power Board © 2001-2026
Invision Power Services, Inc.