Помощь
-
Поиск
-
Пользователи
-
Календарь
Полная версия:
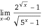
вычислить придел функций ( Сообщение # 92583 by doki ) > Пределы
Образовательный студенческий форум
>
Высшая математика
>
Пределы
doki
25.11.2017, 14:03
Нажмите для просмотра прикрепленного файла
Нажмите для просмотра прикрепленного файла
Это текстовая версия — только основной контент. Для просмотра полной версии этой страницы, пожалуйста,
нажмите сюда
.
Русская версия Invision Power Board © 2001-2026
Invision Power Services, Inc.