Здравствуйте.
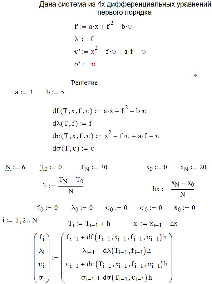
Задана система из 4-х дифференциальных уравнений первого порядка.
Нужно решить в программном обеспечении Mathcad. Использую метод Эйлера. Все должно считаться по времени (если t=0, то x=0, f=0 и тд). Правильно ли я записал сами уравнения и шаг? Если можете, подскажите, пожалуйста, по решению в Mathcad. Заранее благодарю.
Нажмите для просмотра прикрепленного файла