Помощь
-
Поиск
-
Пользователи
-
Календарь
Полная версия:
Определенный интеграл > Интегралы
Образовательный студенческий форум
>
Высшая математика
>
Интегралы
ivan4kk
Сообщение
#91293
16.3.2015, 13:43
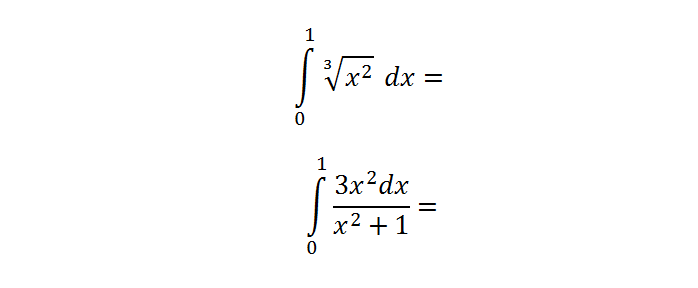
Решите пожалуйста, болел все пропустил, теперь 3 неделю сдать не могу.
Нажмите для просмотра прикрепленного файла
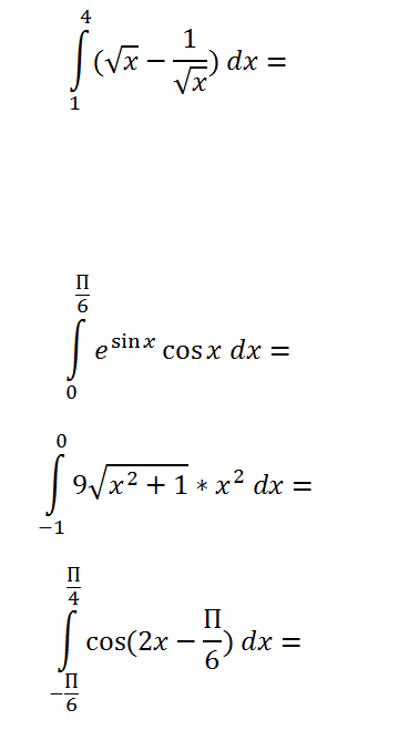
Нажмите для просмотра прикрепленного файла
tig81
Сообщение
#91294
16.3.2015, 14:24
Цитата(ivan4kk @ 16.3.2015, 15:43)
Решите пожалуйста, болел все пропустил, теперь 3 неделю сдать не могу.
Нажмите для просмотра прикрепленного файла
Нажмите для просмотра прикрепленного файла
Что делали? Что не получается?
Это текстовая версия — только основной контент. Для просмотра полной версии этой страницы, пожалуйста,
нажмите сюда
.
Русская версия Invision Power Board © 2001-2026
Invision Power Services, Inc.