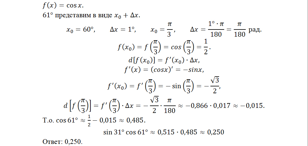
Вычислите приближенное значение числа sin31°cos61°, используя приближение полного приращения функции ее дифференциалом. Укажите результат с точностью до трех знаков после запятой.
пример решила, но преподаватель сказал, что не тем методом. нужно использовать дифференциал функции двух переменных. подскажите, пожалуйста, как это сделать. теорию почитала, но именно на мой случай нет примеров, поэтому не совсем понимаю что делать.Нажмите для просмотра прикрепленного файла Нажмите для просмотра прикрепленного файла
рассмотреть ункцию z(x; y)=sinx*cosy
и найти ее значение z(31°; 61°).
