Помощь
-
Поиск
-
Пользователи
-
Календарь
Полная версия:
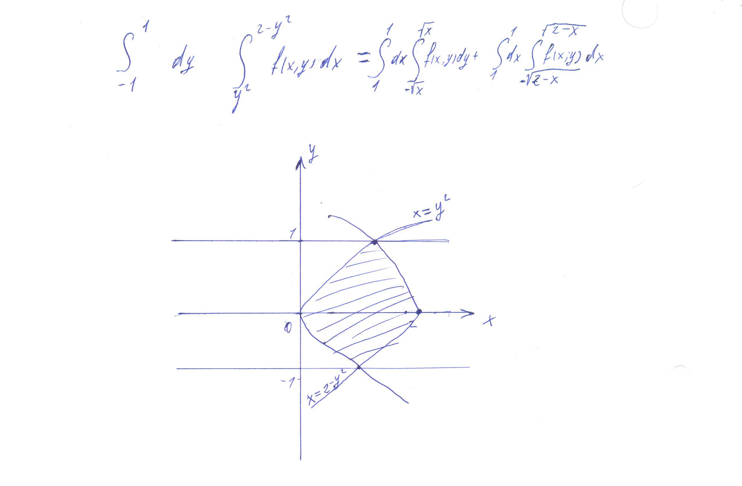
Изменить порядок интегрирования в двойном интеграле. Сделать чертеж области интегрирования ( Сообщение # 90187 by DRON02 ) > Интегралы
Образовательный студенческий форум
>
Высшая математика
>
Интегралы
DRON02
28.1.2014, 14:03
Проверте
Нажмите для просмотра прикрепленного файла
Это текстовая версия — только основной контент. Для просмотра полной версии этой страницы, пожалуйста,
нажмите сюда
.
Русская версия Invision Power Board © 2001-2026
Invision Power Services, Inc.