Помощь
-
Поиск
-
Пользователи
-
Календарь
Полная версия:
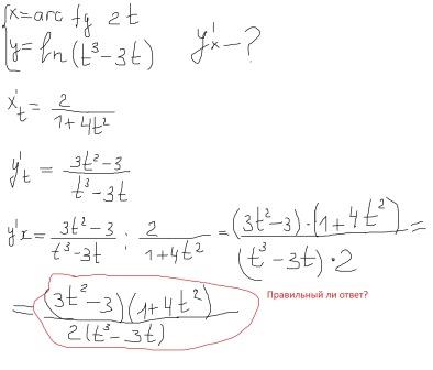
Производная заданная параметрически ( Сообщение # 89817 by Neznaika1 ) > Дифференцирование (производные)
Образовательный студенческий форум
>
Высшая математика
>
Дифференцирование (производные)
Neznaika1
16.12.2013, 21:16
Нажмите для просмотра прикрепленного файла
Это текстовая версия — только основной контент. Для просмотра полной версии этой страницы, пожалуйста,
нажмите сюда
.
Русская версия Invision Power Board © 2001-2026
Invision Power Services, Inc.