Цитата(venja @ 14.11.2013, 1:36)

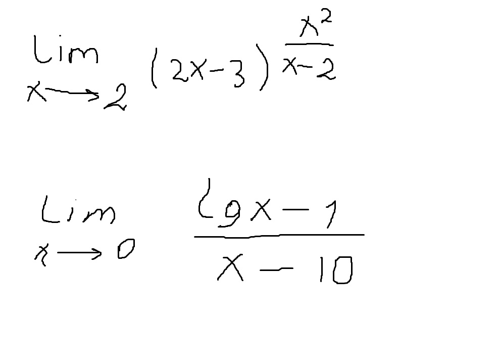
2. В этом пределе неопределенности нет. Проверьте условие.
А может так и задумано

Цитата(murik @ 14.11.2013, 18:19)

Посмотрите пожалуйста решение примера "В" правильно или нет?
1. Не понятна фраза: "в выражении 1/t=
1/2y=2y"
2. Чему равно при у стремящемся к нулю выражение 2(у+2)^2?