В классическом учебнике (Бахвалов, Жидков, Кобельков) для полиномов Чебышева приведены следующие формулы:
T_0(x)=1, T_1(x)=x, T _n+1(x)=2xT_n(x)-T_n-1(x) => T_2(x)=2x^2-1, T_3(x)=4x^3-3x, ...
Большое спасибо за ответ.
Со своей проблемой разобралась самостоятельно, возможно, кому-то на будущее тоже нужно будет.
Вот ссылка на источник:
Приложение ортогональных полиномов Чебышева
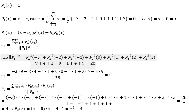
И согласно ей мои расчеты:
Нажмите для просмотра прикрепленного файла
