Помощь
-
Поиск
-
Пользователи
-
Календарь
Полная версия:
Неопределнный интеграл > Интегралы
Образовательный студенческий форум
>
Высшая математика
>
Интегралы
Student142
Сообщение
#88253
26.4.2013, 18:56
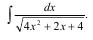
как решить такой интеграл
Нажмите для просмотра прикрепленного файла
Dimka
Сообщение
#88254
26.4.2013, 19:06
выделить под корнем полный квадрат и по известной формуле посчитать
Student142
Сообщение
#88255
26.4.2013, 19:42
под корнем получится (2х+2)^2 -6х ?
Цитата(Student142 @ 26.4.2013, 19:39)
под корнем получится (2х+2)^2 -6х ?
а! или (2х+1)^2 +3 тогда понятно, спасибо
Руководитель проекта
Сообщение
#88256
26.4.2013, 19:53
Цитата(Student142 @ 26.4.2013, 23:42)
(2х+1)^2 +3
Нет. Раскройте квадрат суммы и убедитесь, что ошиблись.
И интеграл не «дробно-рациональный».
Ellipsoid
Сообщение
#88257
27.4.2013, 7:02
Интеграл дробно-иррациональный.
Руководитель проекта
Сообщение
#88271
28.4.2013, 5:41
Цитата(Ellipsoid @ 27.4.2013, 11:02)
Интеграл дробно-иррациональный.
Какими судьбами? Давно вас не было видно.
Это текстовая версия — только основной контент. Для просмотра полной версии этой страницы, пожалуйста,
нажмите сюда
.
Русская версия Invision Power Board © 2001-2026
Invision Power Services, Inc.