Помощь
-
Поиск
-
Пользователи
-
Календарь
Полная версия:
Математический анализ ( Сообщение # 88194 by wapkaka ) > Графики (исследование функций)
Образовательный студенческий форум
>
Высшая математика
>
Графики (исследование функций)
wapkaka
21.4.2013, 17:13
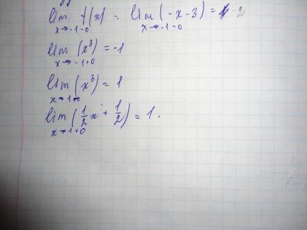
функция не прерывна на каждом из интервалов (-∞;1),(-1;1),(1;∞)
Исследуем на непрерывность точки х=-1, x=1
Нажмите для просмотра прикрепленного файла
Это текстовая версия — только основной контент. Для просмотра полной версии этой страницы, пожалуйста,
нажмите сюда
.
Русская версия Invision Power Board © 2001-2026
Invision Power Services, Inc.