Помощь
-
Поиск
-
Пользователи
-
Календарь
Полная версия:
Неопределенный интеграл ( Сообщение # 88022 by Student142 ) > Интегралы
Образовательный студенческий форум
>
Высшая математика
>
Интегралы
Student142
8.4.2013, 14:15
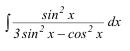
Помогите решить неопределенный интеграл
Нажмите для просмотра прикрепленного файла
Это текстовая версия — только основной контент. Для просмотра полной версии этой страницы, пожалуйста,
нажмите сюда
.
Русская версия Invision Power Board © 2001-2026
Invision Power Services, Inc.