Помощь
-
Поиск
-
Пользователи
-
Календарь
Полная версия:
Найти производную dy/dx данной функции > Дифференцирование (производные)
Образовательный студенческий форум
>
Высшая математика
>
Дифференцирование (производные)
Петруха
Сообщение
#87042
26.12.2012, 13:57
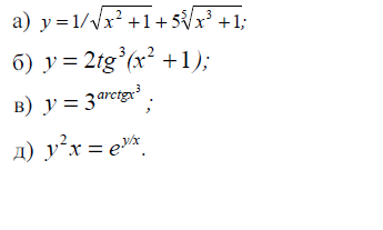
Найти производную dy/dx данной функции
Нажмите для просмотра прикрепленного файла
Dimka
Сообщение
#87044
26.12.2012, 14:04
Что конкретно не получается?
Петруха
Сообщение
#87045
26.12.2012, 14:08
Цитата(Dimka @ 26.12.2012, 14:04)
Что конкретно не получается?
да тут ваще запарка уже весь инет перерыл, мне нужно решение и если не трудно обьяснить что где, чтобы подобные примеры решать, у меня завтра сдача а я зарылся
Dimka
Сообщение
#87046
26.12.2012, 14:17
А почему за деньги на платных сайтах не хотите заказать?
Петруха
Сообщение
#87047
26.12.2012, 14:19
Цитата(Dimka @ 26.12.2012, 14:17)
А почему за деньги на платных сайтах не хотите заказать?
опасаюсь что обманут
Dimka
Сообщение
#87048
26.12.2012, 14:23
не стоит опасаться. Можно одной заказывать и оплачивать. А за полдня Вы не научитесь решать задачи.
Петруха
Сообщение
#87049
26.12.2012, 14:27
ну хотя бы один пример обьясните плиз как делать
Петруха
Сообщение
#87050
26.12.2012, 15:11
вот тут че то подумал посмотрите правильно хоть
venja
Сообщение
#87060
26.12.2012, 17:02
Верно
Это текстовая версия — только основной контент. Для просмотра полной версии этой страницы, пожалуйста,
нажмите сюда
.
Русская версия Invision Power Board © 2001-2026
Invision Power Services, Inc.