Помощь
-
Поиск
-
Пользователи
-
Календарь
Полная версия:
Найти частные производные 2-го порядка ( Сообщение # 86791 by sVa112 ) > Дифференциальные уравнения
Образовательный студенческий форум
>
Высшая математика
>
Дифференциальные уравнения
sVa112
15.12.2012, 14:26
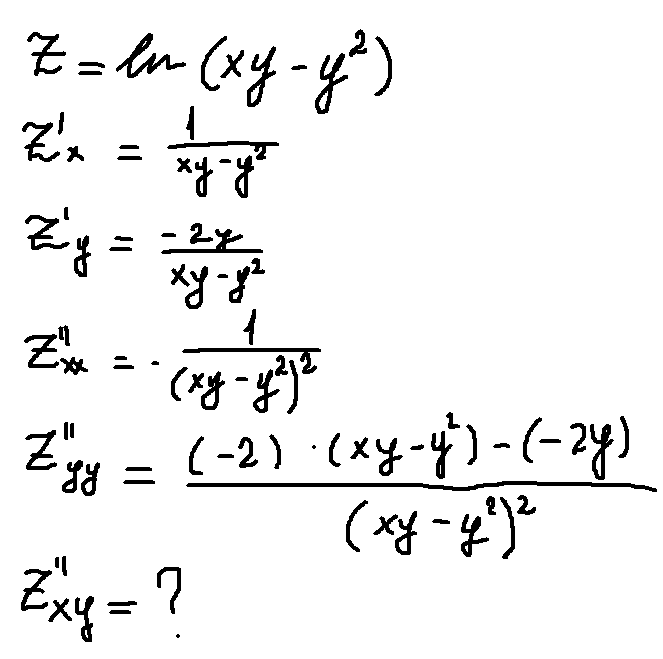
Правильно ли я решаю, и как найти Z"xy (просто продефференцировать ln(xy-y^2))?
Нажмите для просмотра прикрепленного файла
Это текстовая версия — только основной контент. Для просмотра полной версии этой страницы, пожалуйста,
нажмите сюда
.
Русская версия Invision Power Board © 2001-2026
Invision Power Services, Inc.