Помощь
-
Поиск
-
Пользователи
-
Календарь
Полная версия:
интегралы ( Сообщение # 85417 by Azart11 ) > Интегралы
Образовательный студенческий форум
>
Высшая математика
>
Интегралы
Azart11
8.10.2012, 19:45
срочно нужно помогите плиз расписать вот, что ток у меня получилось:
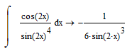
1)
Нажмите для просмотра прикрепленного файла
Расписал знаменатель:
Нажмите для просмотра прикрепленного файла
2)
Нажмите для просмотра прикрепленного файла
Это текстовая версия — только основной контент. Для просмотра полной версии этой страницы, пожалуйста,
нажмите сюда
.
Русская версия Invision Power Board © 2001-2026
Invision Power Services, Inc.