Здравствуйте!
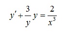
Дано задание, но я не пойму, наверно тут опечатка - y в дроби 3/y. Подскажите пожалуйста верно дано условие или нет, и если нет что должно быть вместо y в знаменателе? И как ответить преподавателю с чего изменил условие?
Нажмите для просмотра прикрепленного файла