Помощь
-
Поиск
-
Пользователи
-
Календарь
Полная версия:
нуждаюсь в вашей помощи ( Сообщение # 83996 by Аlinka-mandarinka92 ) > Интегралы
Образовательный студенческий форум
>
Высшая математика
>
Интегралы
Аlinka-mandarinka92
30.5.2012, 14:34
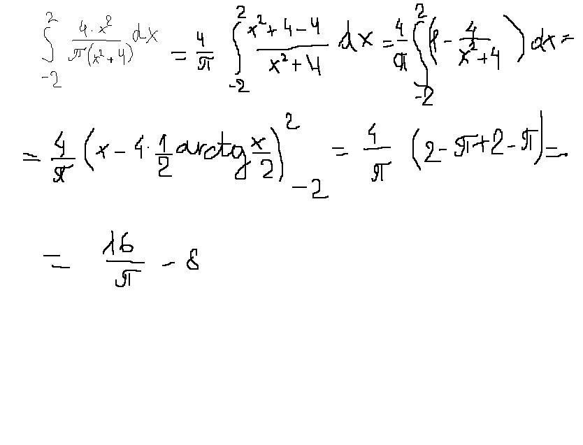
не подскажите где ошибка?
Нажмите для просмотра прикрепленного файла
Это текстовая версия — только основной контент. Для просмотра полной версии этой страницы, пожалуйста,
нажмите сюда
.
Русская версия Invision Power Board © 2001-2026
Invision Power Services, Inc.