Помощь - Поиск - Пользователи - Календарь
Полная версия: Разложение кусочно заданной функции в ряд Фурье > Ряды
Образовательный студенческий форум > Высшая математика > Ряды
Sergio Ramos
функция f(x) задана на [-L ; L]

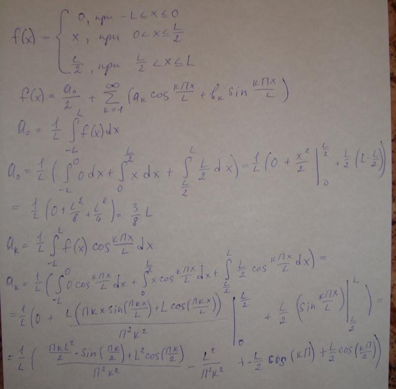
Нажмите для просмотра прикрепленного файла

Выразил до Ak, аналогичным образом выражается и Bk.

Однако, вот ответ:

Нажмите для просмотра прикрепленного файла

бесконечная сумма уже пропала (так и должно быть в кусочно-заданной?) и идет конкретная подстановка вместо K значений 1,2,3 (в sin и cos, которые умножаются на Bk и Ak соотв.).

И еще, какие-то больно легкие получились Ak и Bk и откуда взялась пара после a0, если функция y=0?

Или же надо выразить Ak и Bk, а затем в них же поочередно подставить вместо K 1,2,3 и тем самым найдем A1,A2,A3? (Попробовал для к=1, вообще не то получилось).

Прошу прощения за сумбурность.
Sergio Ramos
Нашел у себя ошибки
tig81
И сразу, когда исправите: в чем у вас вопрос не поняла...
Sergio Ramos
Да вопрос, собственно, остался всего один - почему в конечном ответе нет суммы по к от 1 до 00, а берем от 1 до 3?
tig81
Вероятно, что остальные слагаемые равны нулю или в задании сказано: привести первых три члена разложения.

Задание откуда?
Sergio Ramos
Методичка у преподавателя какая-то. Автора, увы, не знаю. В задании ничего не обговорено про 3 слагаемых, так что оставим на совести автора.

Дабы не создавать новую тему, можно здесь еще про один номер спросить?
tig81
ну сложно сказать, я не решала, так что может и на совести автора, может и нет...

Если про ряды, то спрашивайте, хотя нестрашно, если и новую создадите.
Sergio Ramos
Да оставлю как есть (как и в ответе). Если не так, то даже еще лучше - не надо будет переписывать длинную подстановку.

А номер вот такой: Разложить ф-ю f(x) = arctg^3 (x) в ряд Тейлора.

arctg (x) раскладывается как Сумма по N от 0 до 00 [ -1^N * x^(2N+1) / (2N+1) ]

а куб будет расписываться как куб этой суммы?
Это текстовая версия — только основной контент. Для просмотра полной версии этой страницы, пожалуйста, нажмите сюда.
Русская версия Invision Power Board © 2001-2026 Invision Power Services, Inc.