Помощь
-
Поиск
-
Пользователи
-
Календарь
Полная версия:
lim(x->-1)(tg(x+1))/(e^((x^3-4x^2+6)^(1/3))-e) > Пределы
Образовательный студенческий форум
>
Высшая математика
>
Пределы
Виталий
Сообщение
#7305
6.11.2007, 17:18
Помогите, как их сделать? Нужно вычислить пределы...
1.
Нажмите для просмотра прикрепленного файла
2.
Нажмите для просмотра прикрепленного файла
RisingForceOnline
Сообщение
#7309
6.11.2007, 18:01
ты замечательные пределы не знаешь??
2-ой приведи к виду зам.пред.
1-ый либо тоже, либо по правилу лопиталя,хз,решать неохото)
Виталий
Сообщение
#7360
7.11.2007, 20:37
На счет первого препод сказал надо преобразовывать!
И делать через замену переменной, вроде как по лучше стало!
Но все таки 2 пример, вообще без понятия как делать!
venja
Сообщение
#7367
8.11.2007, 8:19
Цитата(Виталий @ 8.11.2007, 1:37)
Но все таки 2 пример, вообще без понятия как делать!
Представить функцию под пределом в виде
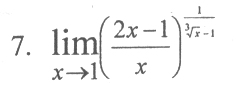
{[1+(x-1)/x]^[x/(x-1)]}^{(x-1)/[x*(sqrt[3](x)-1)]}
В первой фигурной скобке воспользоваться вторым замеч. пределом и вычислить предел второй фигурной скобки.
Это текстовая версия — только основной контент. Для просмотра полной версии этой страницы, пожалуйста,
нажмите сюда
.
Русская версия Invision Power Board © 2001-2026
Invision Power Services, Inc.