Помощь
-
Поиск
-
Пользователи
-
Календарь
Полная версия:
Разложить в ряд Фурье ( Сообщение # 80112 by cope2 ) > Ряды
Образовательный студенческий форум
>
Высшая математика
>
Ряды
cope2
12.1.2012, 9:34
Здравствуйте.
Помогите плз с таким заданием .
Нажмите для просмотра прикрепленного файла
записал
Нажмите для просмотра прикрепленного файла
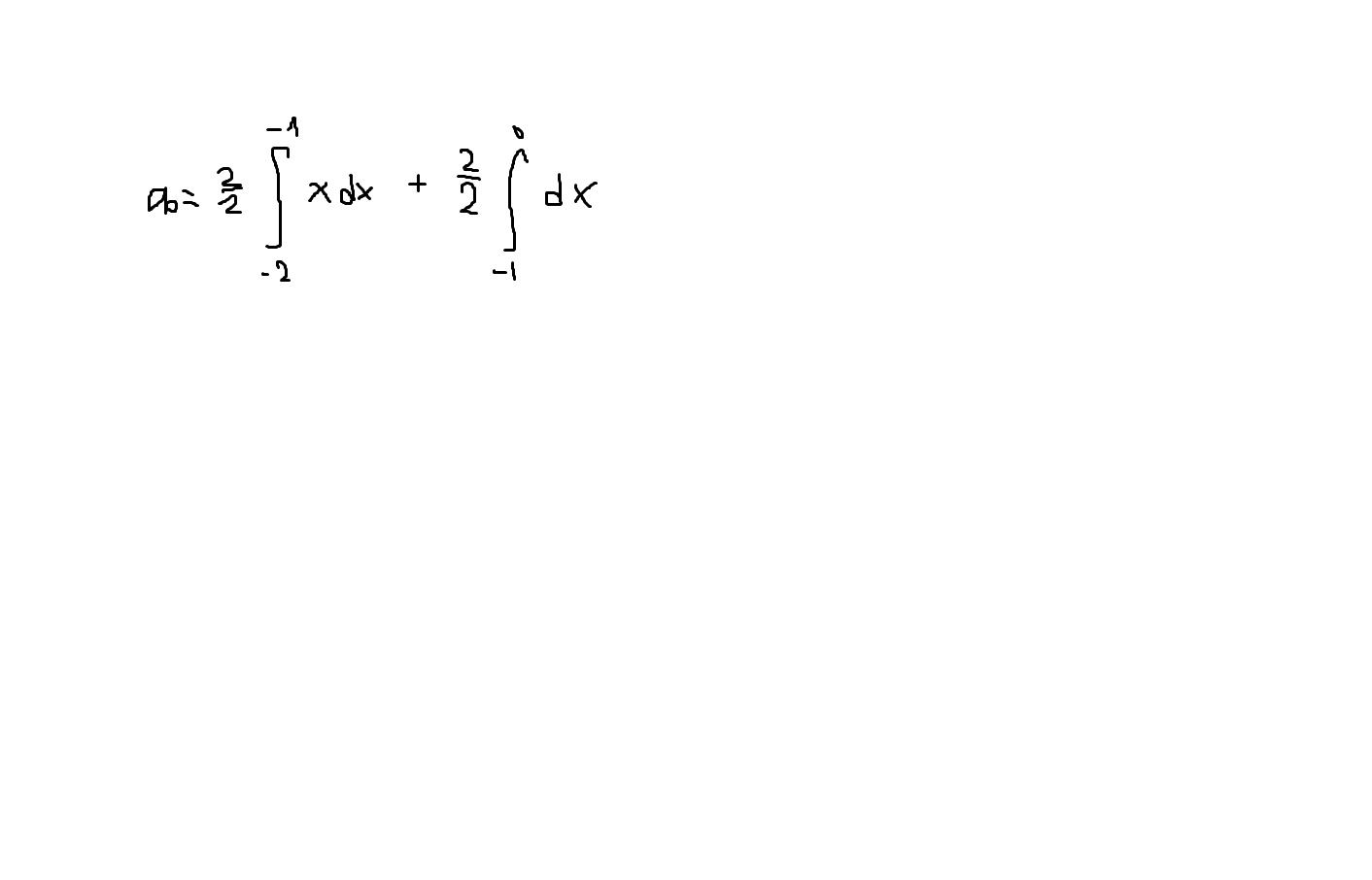
теперь а0 нужно найти только не знаю так или нет?
Нажмите для просмотра прикрепленного файла
Это текстовая версия — только основной контент. Для просмотра полной версии этой страницы, пожалуйста,
нажмите сюда
.
Русская версия Invision Power Board © 2001-2026
Invision Power Services, Inc.