Помощь
-
Поиск
-
Пользователи
-
Календарь
Полная версия:
два предела > Пределы
Образовательный студенческий форум
>
Высшая математика
>
Пределы
Андрюха
Сообщение
#7006
28.10.2007, 23:24
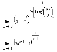
Помогите,пожалуйста,решить 2 предела
Нажмите для просмотра прикрепленного файла
Посмотрел пример из Кузнецова
и споткнулся после шестого знака равно ,а именно как мы получили содержимое скобки,которая стоит после экспоненты.Объясните кто-нибудь
Julia
Сообщение
#7009
29.10.2007, 4:49
Умножили числитель и знаменатель дроби на Pi*x^2
Андрюха
Сообщение
#7031
29.10.2007, 16:56
а как быть с моими пределами?подскажите
Это текстовая версия — только основной контент. Для просмотра полной версии этой страницы, пожалуйста,
нажмите сюда
.
Русская версия Invision Power Board © 2001-2026
Invision Power Services, Inc.