Помощь
-
Поиск
-
Пользователи
-
Календарь
Полная версия:
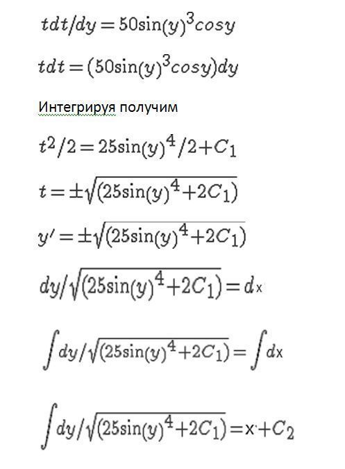
y’’=50(siny)^3cosy, y(1)=π/2, y’(1)=5. ( Сообщение # 77567 by magacitli ) > Дифференциальные уравнения
Образовательный студенческий форум
>
Высшая математика
>
Дифференциальные уравнения
magacitli
4.11.2011, 16:17
Нажмите для просмотра прикрепленного файла
Это текстовая версия — только основной контент. Для просмотра полной версии этой страницы, пожалуйста,
нажмите сюда
.
Русская версия Invision Power Board © 2001-2026
Invision Power Services, Inc.