Здравствуйте, уважаемые участники форума!
У меня грядет первое серьезное испытание по ТеорВеру! (можете меня поздравить)
Задания в следующем:

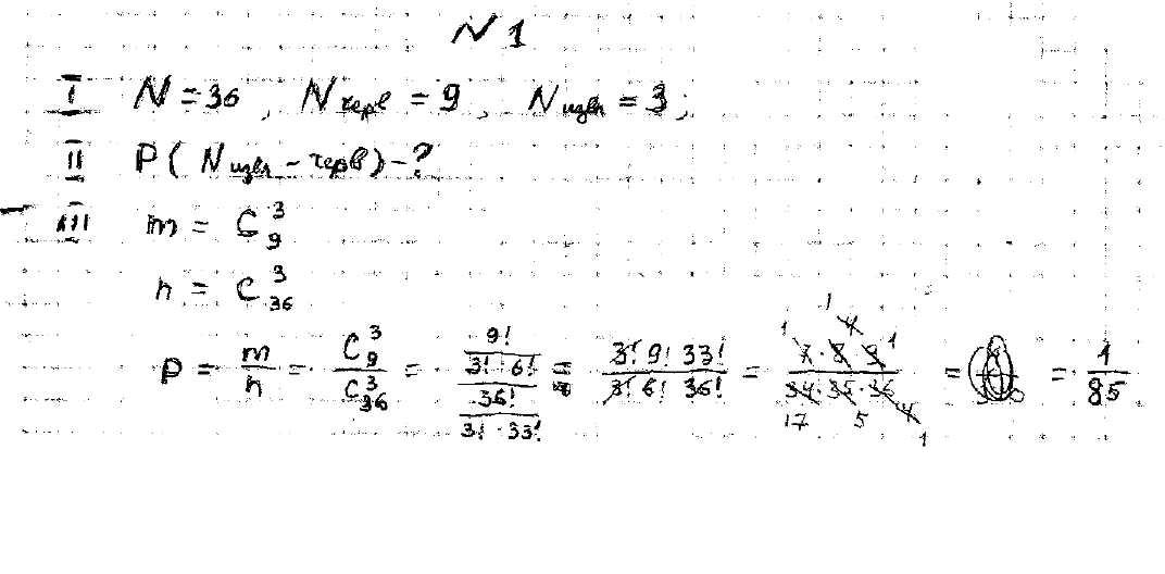
1. В колоде 36 карт, среди которых 9 червовой масти. Наудачу извлекают три карты. Найти вероятность того, что среди извлечённых карт все червовой масти.
2. Внутрь круга радиуса R наудачу брошена точка. Найти вероятность того, что точка окажется внутри вписанного в круг правильного восьмиугольника. (предполагается, что вероятность попадания точки в часть круга пропорциональна площади этой части и не зависит от её расположения относительно круга).
3. В мешочке содержится 10 одинаковых кубиков с номерами от 1 до 10. Наудачу извлекают по одному три кубика. Найти вероятность того, что последовательно появятся кубики с номерами 1, 2, 3, если кубики извлекаются с возвращением (извлечённый кубик возвращается в мешочек).
4. Вероятность попадания в мишень каждым из двух стрелков равна 0,5. Стрелки стреляют по очереди, причём каждый должен сделать по два выстрела. Попавший в мишень первым получает приз. Найти вероятность того, что стрелки получат приз.

Я кажется решил все задачи, однако страшновато показывать преподу. Не могли бы вы, уважаемые участники форума, проверить мое решение и указать неопытному студенту на его ошибки? (Выкладываю решение в виде картинок). Заранее благодарен!


Нажмите для просмотра прикрепленного файла
Нажмите для просмотра прикрепленного файла
Нажмите для просмотра прикрепленного файла
Нажмите для просмотра прикрепленного файла