Помощь
-
Поиск
-
Пользователи
-
Календарь
Полная версия:
Проверьте пожалуйчта надо очень СРОЧНО !! ( Сообщение # 74194 by nensi10 ) > Дифференцирование (производные)
Образовательный студенческий форум
>
Высшая математика
>
Дифференцирование (производные)
nensi10
5.5.2011, 11:27
Нажмите для просмотра прикрепленного файла
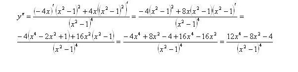
производная функции будет
Нажмите для просмотра прикрепленного файла
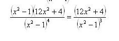
или такой
Нажмите для просмотра прикрепленного файла
Это текстовая версия — только основной контент. Для просмотра полной версии этой страницы, пожалуйста,
нажмите сюда
.
Русская версия Invision Power Board © 2001-2026
Invision Power Services, Inc.