Помощь
-
Поиск
-
Пользователи
-
Календарь
Полная версия:
Проверьте плиз исследование функции и подскажите что делать дальше ( Сообщение # 74171 by nensi10 ) > Графики (исследование функций)
Образовательный студенческий форум
>
Высшая математика
>
Графики (исследование функций)
nensi10
4.5.2011, 19:59
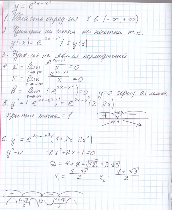
Исследовать функции и построить их графики
1) e^(2x - x^2)
Нажмите для просмотра прикрепленного файла
график вроде должен быть таким но как его сделать по ьочкам не разберусь
Это текстовая версия — только основной контент. Для просмотра полной версии этой страницы, пожалуйста,
нажмите сюда
.
Русская версия Invision Power Board © 2001-2026
Invision Power Services, Inc.