Помощь
-
Поиск
-
Пользователи
-
Календарь
Полная версия:
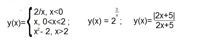
Построить графики функций и указать точки разрыва функций ( Сообщение # 72531 by Назарчик ) > Графики (исследование функций)
Образовательный студенческий форум
>
Высшая математика
>
Графики (исследование функций)
Назарчик
28.3.2011, 12:42
Помогите пожалуйста(((
Нажмите для просмотра прикрепленного файла
Это текстовая версия — только основной контент. Для просмотра полной версии этой страницы, пожалуйста,
нажмите сюда
.
Русская версия Invision Power Board © 2001-2026
Invision Power Services, Inc.