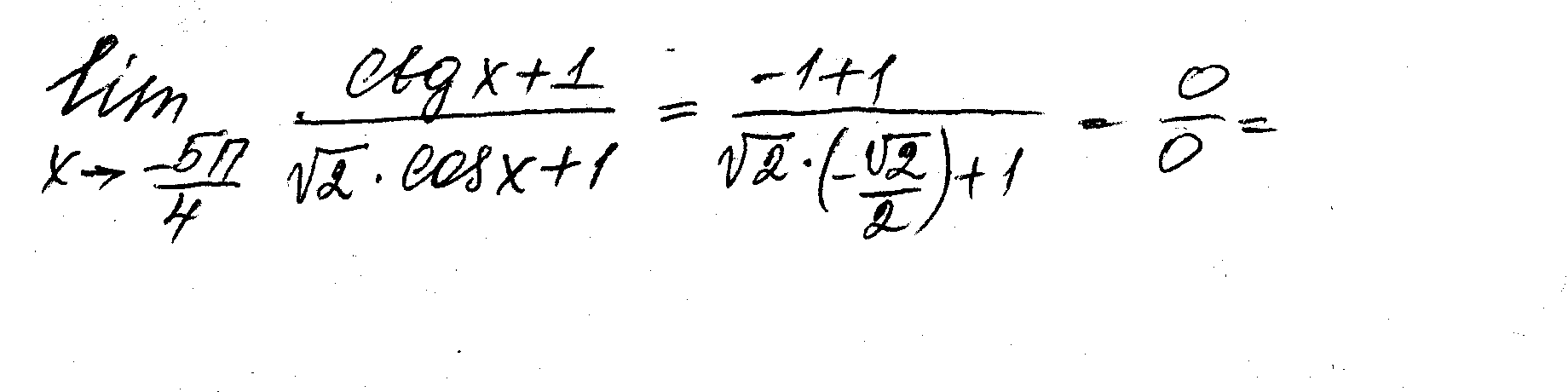
Предел стремиться к -5пи/4 Нажмите для просмотра прикрепленного файла Получается неопределенность 0/0, наверное стоит свести к 1му замечательному пределу, подскажите как дальше?
Это текстовая версия — только основной контент. Для просмотра полной версии этой страницы, пожалуйста, нажмите сюда.