Помощь
-
Поиск
-
Пользователи
-
Календарь
Полная версия:
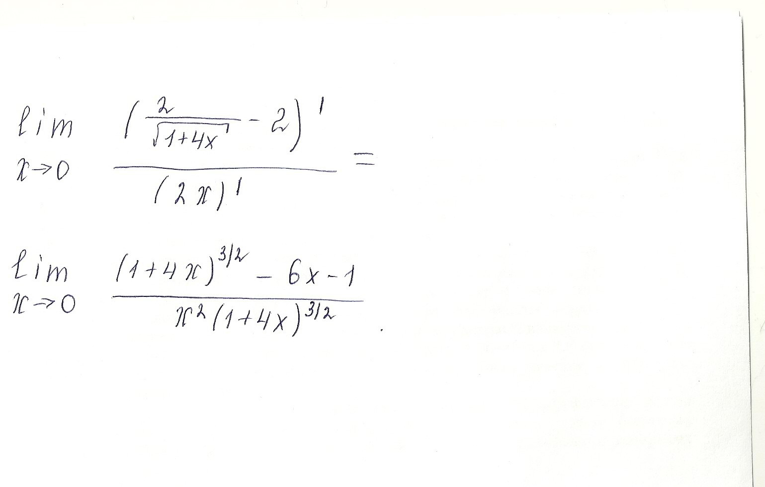
lim(x->0)[(sqrt 1+4x)-1-2x]/x^2 ( Сообщение # 71045 by Ksanchik ) > Пределы
Образовательный студенческий форум
>
Высшая математика
>
Пределы
Ksanchik
20.2.2011, 17:54
Нажмите для просмотра прикрепленного файла
Посмотрите пожалуйста,может так?
Это текстовая версия — только основной контент. Для просмотра полной версии этой страницы, пожалуйста,
нажмите сюда
.
Русская версия Invision Power Board © 2001-2026
Invision Power Services, Inc.