Я бы делала так, хотя и первое решение имеет право на существование. Но все сливается,Ю проверить не могу. Если что, то отсканируйте решение, тогда посмотрим.
Получается второй вариант правильный???
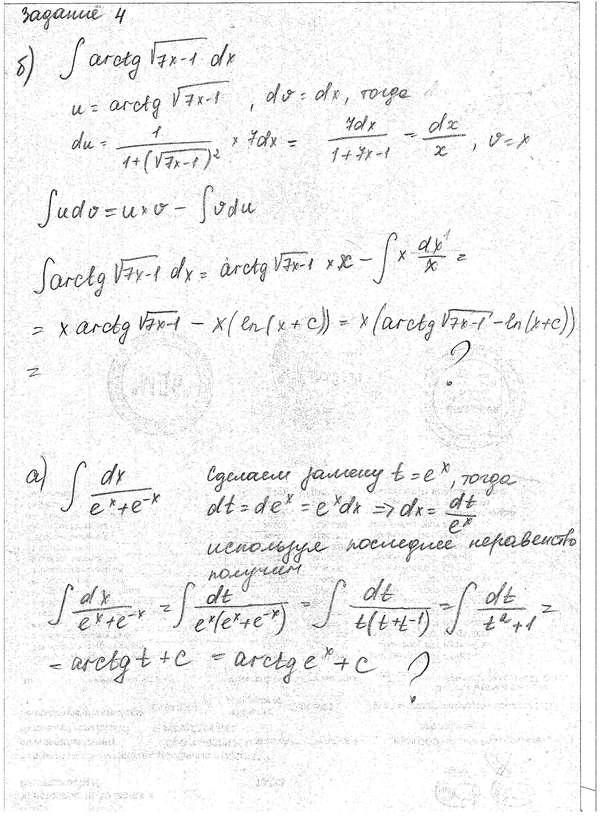
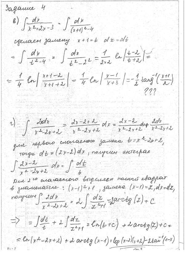
Кстати у меня есть отсканированные наброски,посмотрите пожалуйста...
Нажмите для просмотра прикрепленного файла Нажмите для просмотра прикрепленного файла
