Помощь
-
Поиск
-
Пользователи
-
Календарь
Полная версия:
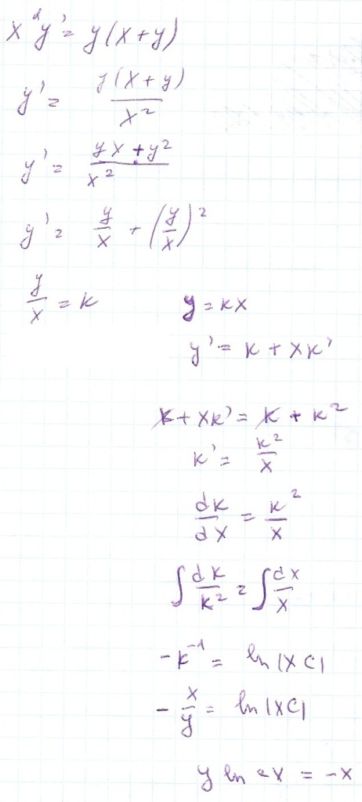
x^2y'=y(x+y) ( Сообщение # 66808 by assaunny ) > Дифференциальные уравнения
Образовательный студенческий форум
>
Высшая математика
>
Дифференциальные уравнения
assaunny
12.12.2010, 11:29
Нажмите для просмотра прикрепленного файла
Это текстовая версия — только основной контент. Для просмотра полной версии этой страницы, пожалуйста,
нажмите сюда
.
Русская версия Invision Power Board © 2001-2026
Invision Power Services, Inc.