Помощь
-
Поиск
-
Пользователи
-
Календарь
Полная версия:
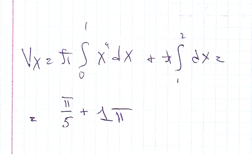
Вычислить объем тел, образованных вращением фигур ( Сообщение # 64966 by assaunny ) > Интегралы
Образовательный студенческий форум
>
Высшая математика
>
Интегралы
assaunny
14.11.2010, 13:24
Нажмите для просмотра прикрепленного файла
Так??? Эт не правильно навен
Это текстовая версия — только основной контент. Для просмотра полной версии этой страницы, пожалуйста,
нажмите сюда
.
Русская версия Invision Power Board © 2001-2026
Invision Power Services, Inc.