Помощь
-
Поиск
-
Пользователи
-
Календарь
Полная версия:
Абсолютная или условная сходимость ( Сообщение # 59679 by huxxboxx ) > Ряды
Образовательный студенческий форум
>
Высшая математика
>
Ряды
huxxboxx
3.6.2010, 18:02
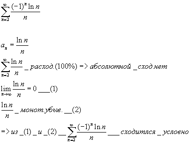
Очень прошу проверить примерчик =)
Нажмите для просмотра прикрепленного файла
Это текстовая версия — только основной контент. Для просмотра полной версии этой страницы, пожалуйста,
нажмите сюда
.
Русская версия Invision Power Board © 2001-2026
Invision Power Services, Inc.