Помощь
-
Поиск
-
Пользователи
-
Календарь
Полная версия:
(x-1)*y'+y=(x^2) -1 ( Сообщение # 59214 by huxxboxx ) > Дифференциальные уравнения
Образовательный студенческий форум
>
Высшая математика
>
Дифференциальные уравнения
huxxboxx
29.5.2010, 16:19
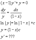
Вообщем сейчас заного решил , только вот я не пойму как находить y'=???(что и куда подставлять помогите)
Пока так:
Нажмите для просмотра прикрепленного файла
Это текстовая версия — только основной контент. Для просмотра полной версии этой страницы, пожалуйста,
нажмите сюда
.
Русская версия Invision Power Board © 2001-2026
Invision Power Services, Inc.