Помощь
-
Поиск
-
Пользователи
-
Календарь
Полная версия:
Мат. логика. Методы Карно и Квайна > Разное
Образовательный студенческий форум
>
Высшая математика
>
Разное
snake123456789
Сообщение
#58995
26.5.2010, 7:46
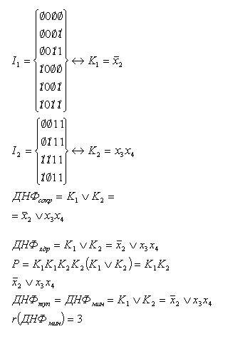
Пожалуйста, помогите найти ошибку...
Нажмите для просмотра прикрепленного файла
Нажмите для просмотра прикрепленного файла
Нажмите для просмотра прикрепленного файла
Нажмите для просмотра прикрепленного файла
Это текстовая версия — только основной контент. Для просмотра полной версии этой страницы, пожалуйста,
нажмите сюда
.
Русская версия Invision Power Board © 2001-2026
Invision Power Services, Inc.