Возникли проблемы ещё с двумя интегралами.
Нажмите для просмотра прикрепленного файла
и
Нажмите для просмотра прикрепленного файла
В примере 8.6 не нашла способа для упрощения, раскрыла скобки и сделала замену t=tg(x/2)
В итоге получилась дробь
Нажмите для просмотра прикрепленного файла
И не выходит ничего с ней у меня...
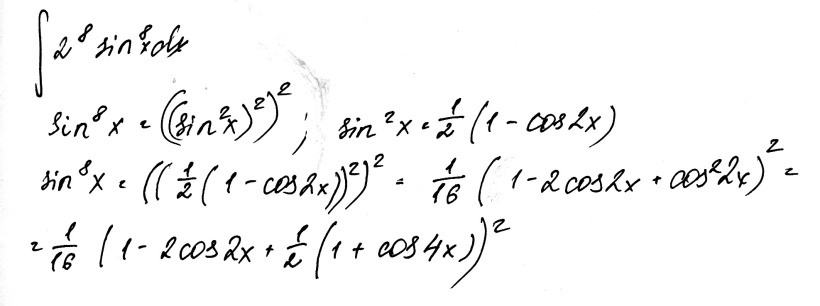
В примере 10.6 3 раза применяются формулы понижения степени, но с третьим разом проблемы.
Полные проблемные решения выложу позже.
