Цитата(Стасян @ 17.4.2010, 19:10)

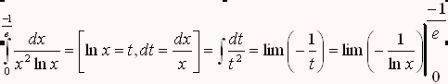
Если пересчитать пределы то получается так t= LN(-1/e).
Хм... там точно минус есть?
Цитата
Я не могу его посчитать.
Комплексное число получается. Ну или, логарифм существует лишь для положительных х.
Цитата
А можно минус за знак логарифма вынести?
Нет.
Цитата
И я не знаю какая будет переменная и к чему она будет стремиться?
в какой точке (пределы интегрирования) ваша функция неопределенна?