Цитата(Стасян @ 17.4.2010, 18:50)

В примере под пунктом "а" в задании такая формула r=6sin(3фи),
да.
Цитата
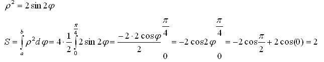
а почему у меня вместо r стоит p^2?
Вас смущает квадрат или то, что вместо r стоит ро?
Если первое, то просто так задана кривая, условие такое, т.е. при подстановке в формулу площади вам никак не надо преобразовывать функцию. Если второе - то просто полярный радиус в разных источниках обозначается по-разному.