Помощь - Поиск - Пользователи - Календарь
Полная версия: Криволинейный интеграл по отрезку > Интегралы
Образовательный студенческий форум > Высшая математика > Интегралы
Filia
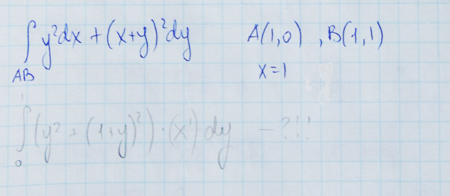
Не понятно как решать интегралы по отрезку, когда уравнение прямой выглядит как x=const, y=const. Вот фотографии конкретных примеров. Нажмите для просмотра прикрепленного файлаНажмите для просмотра прикрепленного файла
Тролль
Что именно не понятно?
Filia
Для решения, теоретически, нужно воспользоваться этой Нажмите для просмотра прикрепленного файла формулой, но как ей воспользуешься, если нельзя выразить одну переменную через другую?
Тролль
Подставляем в интеграл вместо переменной, которая константа, ее значение.
Filia
А если там "у" нужно подставить, а уравнение прямой выглядит как х=1?
Тролль
Тогда подставляем х.
Filia
Т.е. если у нас интеграл от у*х и уравнение прямой х=1, то мы подставляем, и у нас получается интеграл от у*1 по у? Так что ли? А dx=0 тогда?
Тролль
Да.
Filia
Спасибо.) Эх, чувствую себя идиотом...
Это текстовая версия — только основной контент. Для просмотра полной версии этой страницы, пожалуйста, нажмите сюда.
Русская версия Invision Power Board © 2001-2026 Invision Power Services, Inc.