Lynx
Сообщение
#75184 27.5.2011, 7:39
Помогите! никак не получается!
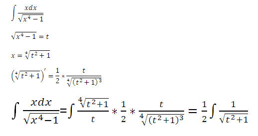
Нажмите для просмотра прикрепленного файлаОтвет должен быть:
(1/2)*Ln|(x^2)+под корнем

(x^4)-1)|+C
не пойму как к такому ответу придти

...
граф Монте-Кристо
Сообщение
#75186 27.5.2011, 7:46
В числителе забыли dt.
Теперь можно сделать замену t = sh(z).
Lynx
Сообщение
#75187 27.5.2011, 8:05
Все разобралась!
Спасибо!
Magicman
Сообщение
#75207 28.5.2011, 9:44
Цитата(Lynx @ 27.5.2011, 11:39)

Помогите! никак не получается!
Нажмите для просмотра прикрепленного файлаОтвет должен быть:
(1/2)*Ln|(x^2)+под корнем

(x^4)-1)|+C
не пойму как к такому ответу придти

...
http://www.wolframalpha.com/input/?i=int+x...rt%28x%5E4-1%29
Это текстовая версия — только основной контент. Для просмотра полной версии этой страницы, пожалуйста,
нажмите сюда.