Помощь - Поиск - Пользователи - Календарь
Полная версия: y'+(1/x)y=xy^1/2 > Дифференциальные уравнения
Образовательный студенческий форум > Высшая математика > Дифференциальные уравнения
huxxboxx
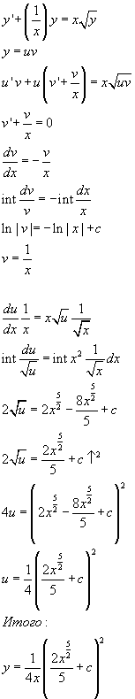
Если вас не затруднит можете проверить данный примерчик(последний):

Нажмите для просмотра прикрепленного файла
Интеграл решал по частям(решил заного)
P.S. Просто у меня нет ответов на данные примеры и не с кем посоветоваться =(
tig81
Цитата(huxxboxx @ 30.5.2010, 17:08) *

Интеграл решал по частям(решил заного)

А чего себе жизнь усложняете?
x^a*x^b=x^(a+b )
x^a*x^b=x^(a-b )
Все можно сделать немного проще.
В ответе можно свести подобные, т.к. у вас х в одной и той же степени.
П.С. Интеграл у меня получился равным 2*x^(5/2)/5+C, а у вас 6*x^(5/2)/5+C. Покажите, как по частям брали.
Цитата
P.S. Просто у меня нет ответов на данные примеры

Это не проблема. Подставляете полученное решение в исходное ДУ и показываете, что в результате получаете верное равенство.
huxxboxx
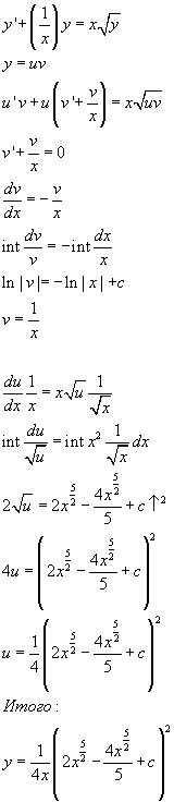
Виноват , потерял двойку в интеграле правой части , исправился =) Вот в конце , стоит ли возводить в квадрат или оставить как есть ?
Нажмите для просмотра прикрепленного файла
tig81
Цитата(huxxboxx @ 30.5.2010, 17:49) *

Виноват , потерял двойку в интеграле правой части , исправился =)

smile.gif
Цитата
Вот в конце , стоит ли возводить в квадрат или оставить как есть ?

Ну нам же надо функция u, а не корень из нее.
huxxboxx
Не не ... я про другое... Я про сам ответ ...
tig81
Цитата(huxxboxx @ 30.5.2010, 18:00) *

Не не ... я про другое... Я про сам ответ ...

А где вы в ответе в квадрат возводили? Вы просто полученные выражения для функций u и v просто перемножили. Или я опять не про то?
huxxboxx
Я про скобки 1/4x*(......)^2, ответ так и оставить ? smile.gif
tig81
Цитата(huxxboxx @ 30.5.2010, 18:06) *

Я про скобки 1/4x*(......)^2, ответ так и оставить ? smile.gif

А (наверное поняла), т.е. вопрос заключается в том, стоит ли раскрывать квадрат или так и оставить?! Если да, то оставляйте как есть.
huxxboxx
Всё спасибо большое .... Очень благодарен =)
tig81
На здоровье!
Это текстовая версия — только основной контент. Для просмотра полной версии этой страницы, пожалуйста, нажмите сюда.
Русская версия Invision Power Board © 2001-2026 Invision Power Services, Inc.